薬剤師試験
Home
平成30年 第7問 薬剤師試験
×
[PR]上記の広告は3ヶ月以上新規記事投稿のないブログに表示されています。新しい記事を書く事で広告が消えます。
2025/12/10 09:30
平成30年 第7問 薬剤師試験
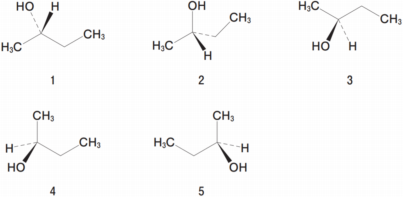
不斉中心の立体配置が R 配置であるのはどれか。
1つ
選べ。
資格試験一覧
体験ブログ
無料 競艇予想 本日の競艇レース一覧
PR
未選択
2018/07/02 08:20
0
コメント
お名前
タイトル
メールアドレス
URL
コメント
パスワード
コメント送信
前のページ
Home
次のページ
プロフィール
HN:
No Name Ninja
性別:
非公開
カテゴリー
未選択(20)
最新記事
平成30年 第10問の答え 薬剤師試験
(07/02)
平成30年 第10問 薬剤師試験
(07/02)
平成30年 第9問の答え 薬剤師試験
(07/02)
平成30年 第9問 薬剤師試験
(07/02)
平成30年 第8問の答え 薬剤師試験
(07/02)
RSS
RSS 0.91
RSS 1.0
RSS 2.0
リンク
管理画面
新しい記事を書く
P R
ページトップ